|

| 用途 | 消毒防腐药,具有相当强的广谱圄菌、杀菌作用,对革兰氏阳性菌及革兰氏阴性菌搆有效。外用手、皮肤消毒,冲洗创口。 |
| 包装规格 | 25kg/桶 |
| CAS编号 | 18472-51-0 |
| 别名 | 葡萄糖酸氯己定溶液;1,6-双(N1-对氯苯基-N5-双胍基)己烷二葡萄糖酸盐; 洗必泰葡萄糖酸盐;葡萄糖氯己定;氯己定二葡糖酸盐;葡萄糖酸洗必泰;氯己定葡萄糖酸盐 |
| 纯度 | 98% |
| 产地/厂商 | 武汉鑫伟烨化工有限公司 |
| 中文名 | 葡萄糖酸氯己定溶液;1,6-双(N1-对氯苯基-N5-双胍基)己烷二葡萄糖酸盐; 洗必泰葡萄糖酸盐;葡萄糖氯己定;氯己定二葡糖酸盐;葡萄糖酸洗必泰;氯己定葡萄糖酸盐 |
英文名 | Chlorhexidine digluconate |
化学名 | 1,6-双(N1-对氯苯基-N5-双胍基)己烷二葡萄糖酸氯己定的水溶液 |
CAS RN | 18472-51-0 |
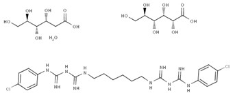
结构式 | ![]() |
分子式 | C22H30Cl2N10·2C6H12O7 |
分子量 | 897.56 |
质量标准 | EP/BP/USP |
性 状 | 为无色或淡黄色几乎透明略为黏稠的液体;无臭或几乎无臭。本品能与水混溶,在乙醇或丙酮中溶解。相对密度:1.060~1.070g/ml(25℃)。 |
用 途 | 消毒防腐药,具有相当强的广谱抑菌、杀菌作用,对革兰氏阳性菌及革兰氏阴性菌均有效。外用手、皮肤消毒,冲洗创口。 |
贮 藏 | 阴凉,干燥,密封保存。 |
包 装 | 1㎏/袋,25㎏/桶。 |
武汉鑫伟烨化工有限公司生产厂家在线QQ:359501377 电话027-59216377/18502781673
尊敬的客户,如您在采购相关产品的同时有任何问题,请致电武汉鑫伟烨化工有限公司产品销售热线:027-59216377/18502781673 如遇电话占线或了解更多详情,可加销售经理QQ:359501377产品价格会随着季节和原料的变化而变动,采购时一定要与销售人员核实清楚,以免耽误您的采购计划。
武汉鑫伟烨化工有限公司是湖北名企,向广大客户承诺:为客户利益把关,提供放心满意产品!我司有专业的售后和技术人员全程指导,请放心购买。
到货方式:物流、汽运、EMS、顺丰、四通一达运输均可,款到当天即可发货。
结算方式:款到发货;货款1万元以上可通过德邦物流或者顺丰快递代收,至少预付30%货款。
武汉鑫伟烨化工有限公司是经过国内权威化工平台--盖德化工网认证的*诚信供应商,如果您对本公司产品相关的用途,作用,含量,规格,标准,性状,报价,市场行情&前景有什么疑问和建议,请联系我们!(本产品已加入盖德化工网现货保证计划,请放心购买!)